maths-sm

jeudi 20 avril 2023

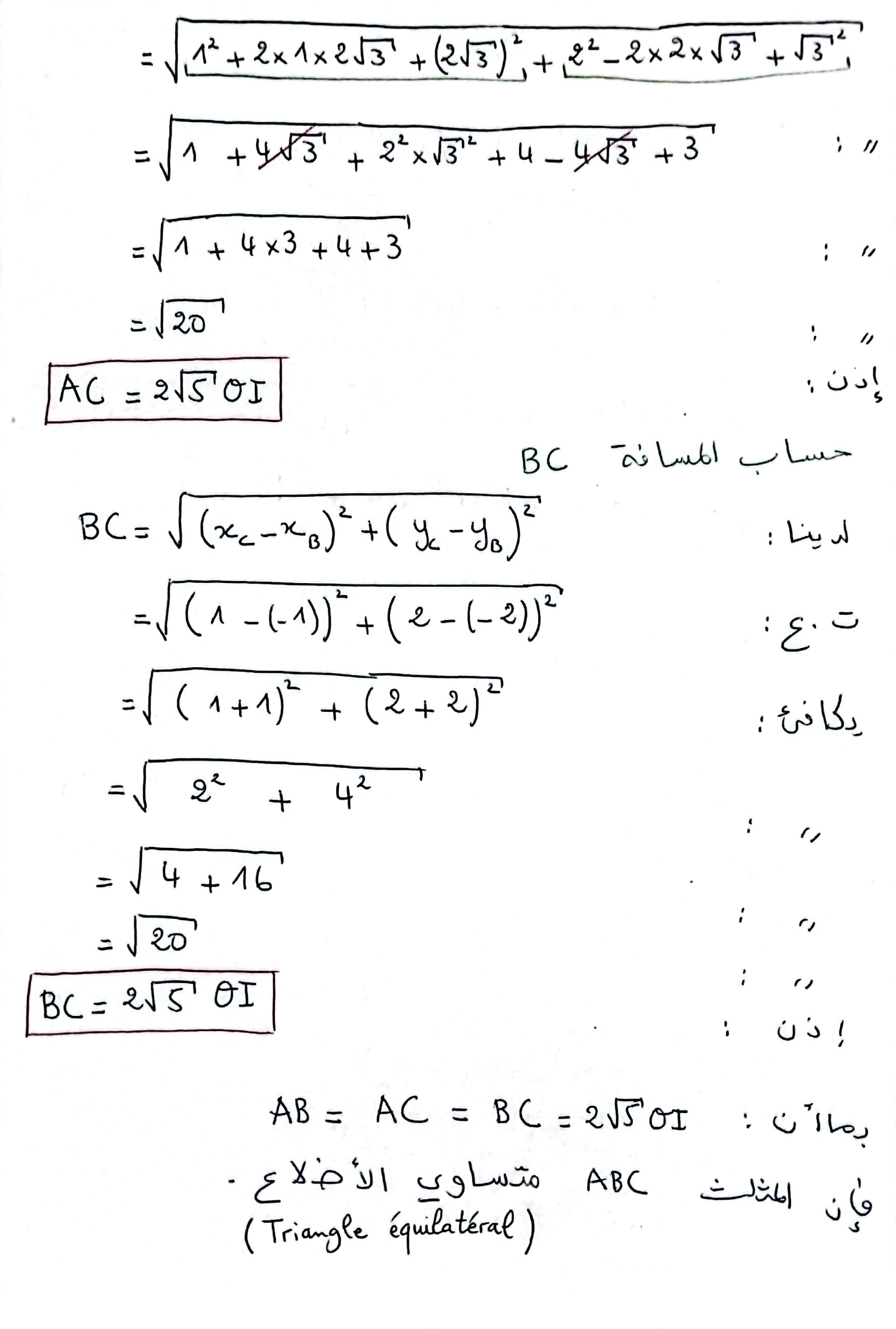
Correction d'examen régional 2021 ( Souss Massa )

 










Publié par YACINE à 09:46 Aucun commentaire:
Envoyer par e-mailBlogThis!Partager sur XPartager sur FacebookPartager sur Pinterest

dimanche 16 avril 2023

3AC - Ex3 , Ex4 , Ex5 (Série "Repère dans le plan / Équation d'une droite")

 








Publié par YACINE à 16:57 Aucun commentaire:
Envoyer par e-mailBlogThis!Partager sur XPartager sur FacebookPartager sur Pinterest

jeudi 6 avril 2023

L’alignement des points (Ex16,17,18-P203-Ar)

 


Publié par YACINE à 14:41 Aucun commentaire:
Envoyer par e-mailBlogThis!Partager sur XPartager sur FacebookPartager sur Pinterest

La position relative de deux droites (Ex19,23-P204-Ar)

 


Publié par YACINE à 14:39 Aucun commentaire:
Envoyer par e-mailBlogThis!Partager sur XPartager sur FacebookPartager sur Pinterest

mercredi 5 avril 2023

3AC - Exercice 7 (Série "Repère dans le plan / Équation d'une droite")

 



Publié par YACINE à 11:11 Aucun commentaire:
Envoyer par e-mailBlogThis!Partager sur XPartager sur FacebookPartager sur Pinterest
Articles plus récents Articles plus anciens Accueil
Inscription à : Commentaires (Atom)

Archives du blog

  • ►  2025 (9)
    • ►  juin (6)
    • ►  mai (2)
    • ►  mars (1)
  • ►  2024 (3)
    • ►  juillet (1)
    • ►  juin (1)
    • ►  mars (1)
  • ▼  2023 (11)
    • ►  décembre (1)
    • ►  novembre (2)
    • ►  octobre (1)
    • ►  mai (1)
    • ▼  avril (5)
      • Correction d'examen régional 2021 ( Souss Massa )
      • 3AC - Ex3 , Ex4 , Ex5 (Série "Repère dans le plan ...
      • L’alignement des points (Ex16,17,18-P203-Ar)
      • La position relative de deux droites (Ex19,23-P204...
      • 3AC - Exercice 7 (Série "Repère dans le plan / Équ...
    • ►  mars (1)
  • ►  2022 (9)
    • ►  octobre (1)
    • ►  juin (4)
    • ►  avril (2)
    • ►  janvier (2)
  • ►  2021 (4)
    • ►  décembre (2)
    • ►  novembre (2)
  • ►  2020 (51)
    • ►  novembre (5)
    • ►  juin (2)
    • ►  mai (18)
    • ►  avril (10)
    • ►  mars (12)
    • ►  février (3)
    • ►  janvier (1)
  • ►  2019 (46)
    • ►  décembre (4)
    • ►  octobre (8)
    • ►  septembre (6)
    • ►  mai (6)
    • ►  avril (8)
    • ►  mars (4)
    • ►  février (3)
    • ►  janvier (7)
  • ►  2018 (33)
    • ►  décembre (8)
    • ►  novembre (8)
    • ►  octobre (4)
    • ►  septembre (2)
    • ►  juin (1)
    • ►  mai (6)
    • ►  avril (1)
    • ►  mars (1)
    • ►  février (1)
    • ►  janvier (1)
  • ►  2017 (6)
    • ►  décembre (1)
    • ►  novembre (1)
    • ►  octobre (1)
    • ►  juin (1)
    • ►  mars (1)
    • ►  janvier (1)
  • ►  2016 (5)
    • ►  décembre (1)
    • ►  novembre (1)
    • ►  mai (1)
    • ►  mars (1)
    • ►  janvier (1)
  • ►  2015 (6)
    • ►  décembre (2)
    • ►  juin (3)
    • ►  mai (1)
  • ►  2014 (3)
    • ►  novembre (3)
  • ►  2013 (1)
    • ►  mars (1)
  • ►  2012 (13)
    • ►  décembre (8)
    • ►  novembre (5)

Qui êtes-vous ?

YACINE
Afficher mon profil complet
Thème Simple. Fourni par Blogger.